Quick
index
main
eev
eepitch
maths
angg
blogme
dednat6
littlelangs
PURO
(C2,C3,C4,
 λ,ES,
 GA,MD,
 Caepro,
 textos,
 Chapa 1)

emacs
lua
(la)tex
maxima
 qdraw
git
lean4
agda
forth
squeak
icon
tcl
tikz
fvwm
debian
irc
contact

Edrxbox: a simpler way to write `dim-*' functions in Maxima

1. What is this?
2. Try it!
3. The core: edrxbox.lisp
4. The examples: edrxbox-examples.lisp
4.1. Verbatimbox
4.2. Antideriv
4.3. Underbrace
4.4. Displaying edrxboxes

(TODO: reuse parts of my outdated page about maxima-vbtbox.html.)
(First version of this page: 2025dec13. Announcement.)


1. What is this?

In Maxima we can define operations that are displayed and LaTeXed in special ways. Making `underbrace(a,b)' be LaTeXed as `\underbrace{a}_{b}', as in the first screenshot below, is very easy; making it be displayed as in the second screenshot, as something that looks vaguely like a fraction but in which the baseline is the baseline of the top object, is VERY hard.

Look at this bug report, for example - it took me ages to understand dim-antideriv.lisp, and more ages to find a one-line fix that fixed its behavior in most cases. We need something better, like another way to write display functions... and I think that this is a step in the right direction.


2. Try it!

If you have eev installed and activated - and Maxima, of course - you can try edrxbox by downloading its two files, edrxbox.lisp and edrxbox-examples.lisp, with something like these commands...

* (eepitch-shell)
* (eepitch-kill)
* (eepitch-shell)
cd /tmp/
wget -N https://anggtwu.net/bad-foundations/edrxbox.lisp
wget -N https://anggtwu.net/bad-foundations/edrxbox-examples.lisp

# (find-fline "/tmp/edrxbox.lisp")
# (find-fline "/tmp/edrxbox-examples.lisp")

...and then run the tests and examples in its test blocks. The next sections explain what its tests and examples do.


3. The core: edrxbox.lisp

The file edrxbox.lisp has lots of explanations, and it has only a handful of (boring) test blocks that demonstrate low-level things... these ones, starting on the second screenshot:

It also has lots of links to displm.lisp and displa.lisp. To make them work in Emacs you need a `code-c-d' like this one:

(code-c-d "maximagit" "~/bigsrc/maxima/")

In Emacs they will point to specific lines in the Maxima source, like in this screenshot:

but in the htmlized version of edrxbox.lisp their pos-spec-lists don't work, and the links point to the top of the files in the git repository.


4. The examples: edrxbox-examples.lisp

The file edrxbox-examples.lisp is much more interesting... it has these examples:


4.1. Verbatimbox

Verbatimbox is used by lisptree:

Note what was needed to center the drawing around the baseline - just a call to `edrxbox-vcenter', that added a "move" command to the drawing instructions.


4.2. Antideriv

The first two screenshots below show `antideriv' and `hdw'. `hdw' creates a box with a certain height, depth, and width; I use it mostly to debug `dim-*' functions. The third screenshot below shows a comparison between the `antideriv' written with edrxbox and its antecessor, dim-antideriv.lisp:


4.3. Underbrace

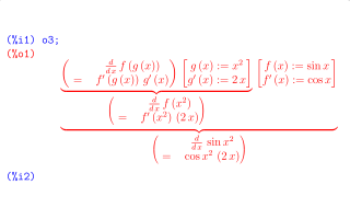
The next screenshot shows `underbrace' - note how the horizontal centering was done by just calling `edrxbox-hcenter' - and a demo that uses my substitution operator, `_s_', and these variants of it.

The second screenshot shows how these underbraces are LaTeXed - see the introduction.



4.4. Displaying edrxboxes

Remember that in a previous section we saw a debugging function, `edrxbox-from-form', that displays the drawing instructions for a given Maxima object. Here is its screenshot again:

The next example is another debugging function, `edrxbox-display', that receives an edrxbox, converts its drawing instructions into a Maxima object - whose associated `dim-*' function is `dim-edrxbox' -, and makes Maxima display it. The conversion is explained in the first two screenshots below,

...and the third screenshot shows what can happen when we don't run `edrxboxvars-push-x-y-end' to move the current (x,y) position to the "right" ending place.


This is related one of my motivations for writing edrxbox.lisp, by the way... see this bug report, that describes a similar bug that took us months to fix, and the explanations in the beginning of edrxbox.lisp, that have this paragraph:

It is very difficult to write new `dim-*' functions in the style used in "displa.lisp" because the user/programmer has to write the drawing instructions in a cryptic DSL in which many parts of the code look reversed, and has to keep several variables, like the box boundaries, in sync and with sane values, "by hand".